Reciben la colaboración de policías y militares venezolanos, los cuales han sido identificados "Águilas Negras" mandan en Táchira, Apure y Barinas, donde tienen negocios

Paramilitares en Venezuela como Pedro por su casa

Estos son los irregulares que se encuentran en territorio nacional desde hace varios meses

Estos son los irregulares que se encuentran en territorio nacional desde hace varios meses

Credito: UN

Paramilitares desmovilizados han vuelto a retomar las armas.

Paramilitares desmovilizados han vuelto a retomar las armas.

Varios jefes paramilitares de las Autodefensas Unidas de Colombia (AUC) que se acogieron al plan de desmovilización coordinado por el gobierno colombiano, y que tenían como compromiso inquebrantable permanecer en su país para ser sujetos de unos beneficios especiales, actualmente se encuentran en territorio venezolano y algunos de ellos dirigen los nuevos grupos de irregulares que luchan por el control en la frontera de ambos países.

Desde hace más de tres meses, informes de inteligencia venezolanos han dado cuenta de la presencia de estos paramilitares dirigiendo acciones en Venezuela y Colombia respectivamente, así como la formación de nuevos grupos de las AUC que han ocupado el espacio que tenían el "Bloque Norte de Santander" y el "Bloque Catatumbo", cuyo accionar traspasó la frontera y tuvo consecuencias dramáticas sobre todo en el Táchira, por la cantidad de asesinatos que cometieron sus militantes desde hace varios años.

El "Programa para la Reincorporación a la Vida Civil", que adelanta el Ministerio del Interior y Justicia de Colombia, brinda varios beneficios a quienes formaron parte de las AUC y decidieron reincorporarse a la vida civil. Entre estos beneficios, figura un aporte económico mensual y oportunidades de trabajo en diversas dependencias del Estado.

Quienes decidieron dejar las armas firmaron un compromiso de abandonar absolutamente todas las actividades al margen de la Ley y cobrar su cheque mensual en persona.

Dos cañones. Pero ello no ha ocurrido así con algunas de estas personas que decidieron jugar a la escopeta de dos cañones. Por un lado cobran como desmovilizados, pero por otro continúan con sus actividades al margen de la Ley y lo hacen fuera de Colombia, en territorio venezolano.

Las autoridades colombianas tienen conocimiento que un buen número de desmovilizados se ha reinsertado a los nuevos grupos paramilitares, ya que éstos dejan autorizaciones escritas para que otras personas puedan cobrar sus sueldos, pese a que ello está prohibido por ley.

Entre este grupo de jefes paramilitares que juegan a las dos caras figura Juan David Hidalgo, cuya cédula de identidad es 1017125416, nació el 12 de junio de 1981 en Medellín. Esta persona se acogió al programa de la desmovilización el 2 de agosto de 2005.

También se encuentra en Venezuela Carlos Julio Vanegas Salazar, CI: 1006155338, nacido en Rioblanco, Tolima, el 12 de abril de 1986. Se desmovilizó el 2 de agosto de 2005.

Otro de los infiltrados en territorio nacional es José Antonio Castillo Casallas, cuyo documento de identidad es 6802164, nació en Milán, Caquetá, el 20 de febrero de 1982yseacogióaladesmovilización el 28 de abril de 2005.

Además de estas tres personas, Jhon Fredy Pérez Montoya nacido el 29 de junio de 1986 en Curillo, Caquetá, y desmovilizado el 2 de febrero de 2005, también está en Venezuela al mando de un grupo paramilitar que se moviliza entre Barinas y Apure.

A este paramilitar lo acompañan en sus andanzas Gildardo Forero García, natural de Neiva, Huila, nacido el 11 de abril de 1976 y beneficiado con el programa de desmovilización el 14 de septiembre de 2005 y Fernando Maecha Pulgarín, cuya cédula de identidad es 1061693941, oriundo de El Doncella, Caquetá, nacido el 3 de junio de 1984 y desmovilizado desde el 26 de mayo de 2005.

Todos ellos perciben un sueldo mensual de 400 mil pesos que no cobran personalmente desde hace un buen tiempo. En su lugar, lo hacen otras personas que tienen una autorización escrita. Este procedimiento está totalmente prohibido, pero en este caso ha sido pasado por alto.

La información que existe sobre el desplazamiento de estos seis irregulares por territorio venezolano da cuenta de que lo hacen coordinando a los grupos desde San Cristóbal, pasando por Apure, hasta llegar a Barinas.

Con negocios. Entre los otros paramilitares que han tomado el control en la frontera y que tienen incluso negocios en Venezuela, figura el comandante conocido como "El Paisa". Este jefe paramilitar, ex miembro del "Bloque Catatumbo", vive actualmente en Villa de Rosario, Colombia, y es escolta de un narcotraficante conocido como "Ramón", sospechoso de introducir droga al país para luego exportarla a Europa. Este narcotraficante habría participado en el asesinato de un funcionario de la Disip en el Táchira, el 1° de noviembre de 2003 Otro irregular conocido por la justicia venezolana es Gregorio Molina Blanco, a quien llaman comandante "Goyo". Fue detenido por una comisión mixta del Cicpc y de la Disip a mediados de enero de este año en Socopó, un pueblo del estado Barinas, junto a una mujeryaundistinguido de inteligencia de la Guardia Nacional (GN) conocido como "Pocholo". En esa oportunidad les encontraron dos kilos del explosivo C-4, un rifle R-15 y una pistola punto 40.

Este paramilitar permaneció detenido durante tres meses en los calabozos de la Disip, tal como lo informó Últimas Noticias el 10 de julio de 2006. Fue liberado por orden de un juez. Estuvo durante un buen tiempo haciendo negocios de venta de carros en la isla de Margarita y dirigiendo el envío de drogas hacia Europa y el Caribe.

La mayoría de los últimos secuestros cometidos en 2006 en el estado Táchira fueron organizados y dirigidos por "Goyo", quien trasladaba a Colombia a sus víctimas.

Aunque no hay información oficial, se cree que "Goyo" habría sido muerto en el hotel "Casa Pablo" de Neiva, por un comando especial del ejército colombiano, el 18 de agosto pasado; sin embargo esa información no ha sido confirmada.

"El Iguano". Jorge Iván Laverde Zapata, "Pedro, el Iguano", es otro paramilitar que hace vida y negocios en Venezuela. Fue jefe del "Bloque Catatumbo" hasta antes de su desmovilización, pero ahora se dedica a controlar el sicariato y narcotráfico desde una finca ubicada en el sector Puerto Lleras, vía Puerto Santander, Colombia.

Entre los colaboradores de los grupos paramilitares figura un mecánico de motos apodado "Chuky", quien es propietario del taller "Karlos" en San Antonio. Este hombre es primo de un escolta del jefe paramilitar conocido como "Paisa" y también estaría implicado en la muerte de un agente de la Disip.

También se menciona a Arbey Duque, quien es propietario de "Abastos Duque" en San Antonio. Se le responsabiliza de haber sido cómplice del asesinato del policía.

El informe de inteligencia también señala a un policía de apellido Sandoval que presta servicios en la Policía del Estado y quien estaría vinculado a los grupos paramilitares, así como al sargento de la GN conocido como "Pescadero", el sargento técnico (GN) Richard Cantor, un policía de apellido Arciniegas, el inspector de la Dirsop de apellido Cáceres y otros policías conocidos como "Jasón", "Mono", "Negro", éste último que sería el enlace con el inspector "Gamboa" de los rurales de la Dirsop.

"Biana" jefe de Ureña. Muchos otros nombres o alias son mencionados como los de "Chuky", quien fue testigo de la muerte de Nini Jhoana Murillo, asesinato ordenado por los paramilitares de San Antonio, Alicia Molina, amiga de Lili Dayana, quien es señalada como la amante de un paramilitar cuyo nombre es Esteban, conocido como "Biana", comandante de las AUC de Ureña. A este jefe irregular lo conoce toda la población de Ureña, Cúcuta y San Antonio, pero nadie lo denuncia por el temor que infunde, ya que es sindicado de ser un asesino profesional. Últimas Noticias publicó el 11 de julio de 2006 un informe detallado sobre la acción paramilitar en Ureña.

Asimismo, es mencionada la suegra del comandante "Biana", a quien identifican por su nombre, pero se señala que alquila teléfonos celulares en un parque de la urbanización integración de Ureña.

Esta señora es la que se encarga de contactar a los jefes paramilitares para las reuniones, así como también llama a los comerciantes y empresarios para citarlos generalmente en ciudades colombianas cercanas, donde se reúnen con "Biana" para acordar el pago de las "vacunas".

"Biana" es el encargado de recolectar el dinero de las vacunas para la organización de las "Águilas Negras", un nuevo y sanguinario grupo paramilitar que dirige desde la cárcel, Rodrigo Tovar Pupo, alias "Jorge-40".

Todas estas personas tienen celulares adquiridos en Venezuela, incluso alguno de ellos cuenta con teléfonos fijos de Cantv.

"Águilas Negras". Desde comienzos de año y luego de la desmovilización de los irregulares de los bloques "Catatumbo" y "Norte de Santander", aparecieron varias agrupaciones de nuevos paramilitares que buscaban ocupar el espacio dejado por las organizaciones que se acogieron al programa del gobierno colombiano de desmovilización.

A pesar de que fueron varios los grupos, pronto comenzó a destacarse uno que se hizo llamar "Águilas Negras". Su accionar sanguinario lo llevó a convertirse en el principal grupo armado en la frontera de Colombia y Venezuela. Su accionar discurre desde Táchira hasta Barinas, pasando por Apure.

Aunque en Colombia conocían de su existencia desde 2004, fue apenas este año cuando saltaron a la popularidad, al presentarse en las zonas desmovilizadas vestidos de negro y anunciando que eran los nuevos amos del terror.

Ahora han ocupado los espacios que dejaron sus predecesores en los departamentos de Antioquia, Santander, Cesar y Caquetá. Se calcula en más de 1.500 el número de sus militantes.

Aunque no lo digan públicamente, sus jefes siguen siendo Salvatore Mancuso y "Jorge-40", quienes los dirigen desde el penal donde se encuentran recluidos.

Su principal líder se hace llamar "comandante Jorge" y vive en el Barrio Popular en Cúcuta, aunque se la pasa entre Puerto Santander, La Fría, San Antonio, San Cristóbal, Ureña y Boca de Grita en Venezuela.

Físicamente ha sido descrito como de color blanco, cara redonda de aproximadamente 32 años y pelo ondulado. Mide 1,70 metros y es natural de Medellín.

Viaja todos los 5 de cada mes para "vigilar" sus "negocios". Es dueño de la clínica "Santa María" en Cúcuta, y se conoce que los paramilitares heridos reciben atención en ese centro médico. Es el responsable de las finanzas y sólo responde a "Mancuso" o "Jorge-40" A "Jorge" le sigue "Mario", quien es el segundo comandante. Ha sido descrito como trigueño, cara ovalada, 1,80 de estatura, vive en Cúcuta, tiene acento costeño. Es el ejecutor y la voz del grupo.

El sicario y mando militar de las "Águilas Negras" es conocido como el comandante "Sinai". Recibe órdenes directas de "Mario", es el ejecutor de las acciones militares, tiene dos comandantes de compañía apodados "Maravilla" y "Uraba".

Físicamente es descrito como de color negro, cara redonda, mide 1,70 metros aproximadamente, es natural de Uraba y no tiene vivienda fija. Es tan sanguinario que hasta sus propios cómplices le temen.

En Puerto Santander manda "Pache" un paramilitar trigueño, cara redonda y estatura baja. Está al mando de 14 hombres, se encarga de los secuestros y extorsión. Viaja en una camioneta Explorer color blanco y se le ve constantemente frente al Centro de Salud de Puerto Santander.

El "Negroguaraña" es el mando paramilitar en Boca de Grita. Los vecinos de esa ciudad dicen que usa una barba cerrada, aparenta unos 45 años de edad, es de estatura mediana y está al mando de seis hombres.

Se encarga de las labores de inteligencia, controla el paso de indocumentados, compra y vende carros y controla el contrabando de gasolina. Se le ve en un quiosco llamado "La Gorda", donde venden cerveza.

"Friki" es el responsable en Ureña. Es moreno, usa pelo al rapé, tiene 30 años es de estatura mediana. Opera con seis hombres. Se encarga de cobrar los impuestos y del contrabando de mercancía. Se le encuentra en la trocha que está en el Puente Internacional del lado de Venezuela.

Su hermano "Friki II", controla San Antonio, es de color negro, gordo, tiene 25 años, manda a seis hombres y compra los uniformes camuflados, las balas, armas y alimentos. Tiene como proveedor el automercado Cosmos.

En La Fría manda "Don Carlos", venezolano, gordo de unos 45 años, tiene la tez blanca y está al mando de seis hombres, su única función es controlar y pasar la droga desde Colombia hasta su destino final, que es el puerto de Maracaibo.

Venezuela es ahora el objetivo de los grupos paramilitares que no sólo tienen a muchos de sus miembros en ciudades del país, sino que han comenzado a tejer una enmarañada red de negocios que los organismos de seguridad del Estado se tienen que encargar de descubrir y combatir.


VACUNA GENERAL

En la ciudad de Ureña, el paramilitarismo se ha incrementado de manera vertiginosa, al punto que casi todas las familias que tienen casas o apartamentos tienen que pagar mensualmente cinco mil bolívares por "seguridad" al jefe de las "Águilas Negras". Pero no sólo ese es el problema, ahora todos los comercios por más pequeños que sean, también deben "colaborar" con cierta suma de dinero de acuerdo a sus ingresos, para evitar que sus negocios sufran robos o sean destrozados.

Los taxistas de San Antonio y Ureña, también pagan la vacuna. Los "pimpineros" que comercializan la gasolina ahora han sido obligados a agruparse en una cooperativa que la controlan los paramilitares. Tienen la obligación de pasarles el 10 por ciento de todas sus ventas diarias. Los hoteles, restaurantes, centros comerciales, peluquerías, talleres, clínicas de ureña y San Antonio también son pechados por los nuevos amos de la frontera, los "Águilas Negras".


RELACIONES MORTALES

JCH La relación entre Jorge-40 líder de los paramilitares del "Bloque Catatumbo", quien se encuentra preso con otros líderes de las AUC a espera de juicio y Jorge Noguera, ex director del Departamento de Seguridad Administrativa (DAS), está más que probada.

Tanto Noguera como Jorge-40, según las declaraciones de Rafael García, ex director de Informática del DAS, y también detenido en la cárcel de "La Picota", habían planificado desestabilizar al gobierno del presidente Hugo Chávez e inclusive, habían planificado su muerte así como las del vice presidente José Vicente Rangel, el Fiscal General Isaías Rodríguez, el ministro de Interior y Justicia, Jesse Chacón y otros dirigentes políticos.

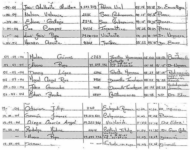
Noguera ha negado cualquier tipo de relación con los paramilitares; sin embargo, en los libros de visitas al DAS, figura el nombre de Álvaro Pupo y Luis José Pupo, primos hermanos de Rodrigo Tovar Pupo, conocido como "Jorge-40".

Las visitas se realizaron el primero de abril de 2004 y las otras dos el 7 y el 19 de julio de ese mismo año.

García ha dicho que en el plan para asesinar al presidente Chávez también participó el senador Dieb Maloob y que los paramilitares junto con personal del DAS se encargaron de introducir las armas y explosivos, que sirvieron para explotar el carro y darmuerteal fiscal Danilo Ánderson.

La relación entre ambos personajes está más que probada, tanto así que la Procuraduría de Colombia ha decidido investigar a Noguera quien fue obligado a renunciar a su cargo de Cónsul en la ciudad italiana de Milán y actualmente se encuentra en Bogotá.


LA DROGA LOS MANTIENE

Los paramilitares que operan en Venezuela, tienen una principal fuente de ingresos que es el narcotráfico.

Mantienen un laboratorio en "Vigilancia", una población colombiana a la quesetieneacceso por Cúcuta, Puerto Santander y Guaramito en Venezuela. Allí trabajan aproximadamente 40 hombres en turnos de 12 personas por 12 horas.

Cada seis meses rotan al personal. Quienes descansan son ubicados en Aragua, Carabobo, Anzoátegui, Bolívar, Mérida, Caracas y Miranda. Este grupo mantiene cautivos a cuatro venezolanos que suponen colaboran con el gobierno de Venezuela.

Ellos trabajaban con José Ernesto Ayala Amado "Lucas", comandante paramilitar capturado en la finca Daktari. En los próximos días, Carlos Amado palencia "Papi", un paramilitar que estuvo presoenlacárcel de Combita, Boyacá bajo el número T-D9597 sea trasladado a Cúcuta para apoyar a "Jorge".


Esta nota ha sido leída aproximadamente 40547 veces.



Noticias Recientes:

Comparte en las redes sociales


Síguenos en Facebook y Twitter



Notas relacionadas